A股骨灰级铁公鸡浪莎首次表态:可以分红了
临近年报披露分红季,A股骨灰级铁公鸡浪莎首次表态:可以分红了。
浪莎上市近20年来未分红,近日被监管部门喊话“铁公鸡”型公司。2月5日,浪莎股份(600137,SH) 回复上交所《关于现金分红事项的监管工作函》表示,预计公司2017年年度经营成果经审计后,已经达到现金分红能力。这也是浪莎上市以来,首次表示要现金分红。受到这一消息的影响,2月6日,在国内股市一片惨淡的状态下,浪莎股份逆势大涨,甚至一度涨停,收盘报21.12元/股,涨2.92%。

事实上,浪莎多年未分红有着历史遗留问题,2007年浪莎股改重组上市,浪莎控股集团成为公司控股股东,由于“前东家”历史遗留问题,截至2007年年末,浪莎遗留了负1.6亿元的未分配利润。
2017年以来,资本市场上“铁公鸡”们多次被中国证监会点名,成为监管层高度关注的治理对象。2月5日,上交所召开上市公司现金分红现场说明会。包括三元股份、阳泉煤业、联美控股、东安动力、澳柯玛在内的五家长期未分红的企业高管接受现场公开质询,并各自说明未实现分红的原因和下一步措施。

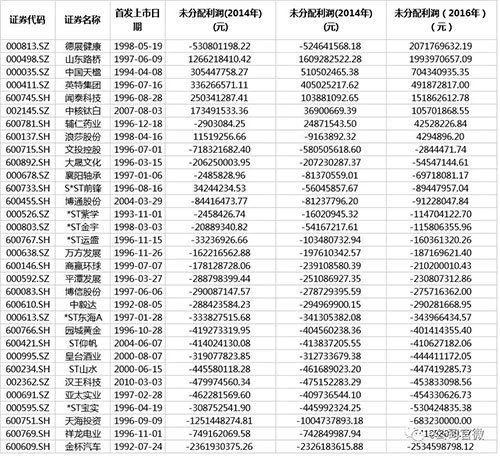
据统计,包括浪莎股份、辅仁药业、金杯汽车在内,A股2017年之前上市的公司中仍有32家从未进行过分红。就在上交所召开说明会当天,浪莎、金杯汽车在内的3家多年未分红公司收到了监管工作函。浪莎当晚对工作函做出了回复,并称预计公司2017年年度经营成果经审计后,达到现金分红能力。据浪莎公司董秘向记者透露,分红比例不会低于30%,最终的分红方案会根据2017年年度审计结果来确定。

唯一一家没有明确表示将实施分红的企业,金杯汽车2月6日股价继续下挫,截至收盘报跌5.85%。
- 海天酱油800名员工即将失业 远不及李锦记
- 台湾2013年度直销企业营业额12强排名出炉
- 央视广告收入371亿 完美罗麦贡献4450万元
- 康美药业股价半月涨逾60% 网络医院稳步成形
- 盘点八大外企在华“行贿门”事件 雅芳曾开除
- “善心汇”不过是场没安善心的庞氏骗局罢了!
- 5年股价跌去70% 雅芳能否走出经营“泥地”
- 2013福布斯台湾富豪榜前50名 陈得福新上榜
- 外媒曝直销商收入排行榜 安利、如新经销商独占
- 2013年山西省直销企业销售总额达18亿元
- 荣格2013年业绩4亿 2014预估增长50%
- 花王携手上海家化 未来战略目标定位中国
- 医药电商平台可得网获得康恩贝3.2亿元投资
- 克缇2015年首季业绩破4亿同比增长500%








